But Ed, does it mathematically show that you now want to install
a restrictor plate?
Or are you sticking to this original statement?: The entire
ideal is to transfer heat from engine to air. Holding the coolant longer
in the block (via a flow restrictor) will indeed increase the temperature and
therefore the heat content of the coolant. However, my view is the ideal
is NOT to hold the heat in the block but to promote its rapid exit from the
block to the radiator.
Jeff
From: Rotary motors in
aircraft [mailto:flyrotary@lancaironline.net] On Behalf Of Ed Anderson
Sent: Tuesday, August 18, 2009 3:23 PM
To: Rotary motors in aircraft
Subject: [FlyRotary] Re: Swirl pots/box fans
Here is a formula for a centrifugal pump that clearly? Shows that
Tracy and Lynn are correct
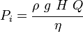
Energy Usage
The energy usage in a pumping installation is determined by
the flow required, the height lifted and the length and characteristics of the
pipeline. The power required to drive a pump (Pi),
is defined simply using SI units by: by:

where:
Pi
is the input power required (W)
ñ is the fluid density
(kg/m3)
g is the
gravitational constant (9.81 m/s2)
H is the
energy Head added to the flow (m)
Q is the flow
rate (m3/s)
ç is the efficiency of the
pump plant as a decimal
One can see that if Q the flow rate becomes zero (by blocking the
exit) then the power required to drive the pump Pi also becomes zero. So
block the pump and lower the flow and the power required drops – or with
the same power, the pump can spin faster. There is always some flow
around the vanes of a centrifugal pump in reality, so the power does not cause
the pump to spin to infinity rpm but it equalizes at a higher rpm than when
considerable (unblocked) flow is the condition.
Is this fun or what?
From: Rotary motors in
aircraft [mailto:flyrotary@lancaironline.net] On Behalf Of Lynn Hanover
Sent: Tuesday, August 18, 2009 2:55 PM
To: Rotary motors in aircraft
Subject: [FlyRotary] Swirl pots/box fans
NO! I meant exactly what
I wrote. It is admittedly counter-intuitive but true none the less.
Did you attempt to prove it to yourself with the suggested test?
Only takes a few seconds :>)
Tracy
On Tue, Aug 18, 2009 at 11:57 AM, Jeff Luckey <JLuckey@pacbell.net>
wrote:
When a box fan falls over onto its suction side, it revs up
as the work it is performing drops off to near zero.....................same
idea.
__________ Information from ESET NOD32 Antivirus, version of virus signature
database 3267 (20080714) __________
The message was checked by ESET NOD32 Antivirus.
http://www.eset.com