Mailing List flyrotary@lancaironline.net Message #47773
From: Chris Barber <cbarber@bellairepolice.com>
Subject: RE: [FlyRotary] Re: Swirl pots/box fans
Date: Tue, 18 Aug 2009 14:33:50 -0500
To: Rotary motors in aircraft <flyrotary@lancaironline.net>
Oh Gawd....numbers and symbols in formula's.....my brain just froze.  Heck, if I could do calculations, I would have become an engineer.....not an attorney/cop.  Hmmmm, seems I can do percentage of award/fee stuff though <g>.

All the best,

Chris

Cpl. Christopher Barber, JD
Badge 330
Bellaire Police Department
5110 Jessamine
Bellaire, Texas 77401

713-668-0487
713-662-8289 fax

CBarber@BellairePolice.com

________________________________

From: Rotary motors in aircraft on behalf of Ed Anderson
Sent: Tue 8/18/2009 2:22 PM
To: Rotary motors in aircraft
Subject: [FlyRotary] Re: Swirl pots/box fans



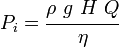
Here is a formula for a centrifugal pump that clearly? Shows that Tracy and Lynn are correct




Energy Usage


The energy usage in a pumping installation is determined by the flow required, the height lifted and the length and characteristics of the pipeline. The power required to drive a pump (Pi), is defined simply using SI units by: by:

P_i= \cfrac{\rho\ g\ H\ Q}{\eta} <https://remotemail.ever-tek.com/Exchange/cbarber/Drafts/RE:%20[FlyRotary]%20Re:%20Swirl%20pots_xF8FF_box%20fans.EML/1_multipart/image001.gif> where:

Pi is the input power required (W) ? is the fluid density (kg/m3) g is the gravitational constant (9.81 m/s2) H is the energy Head added to the flow (m) Q is the flow rate (m3/s) ? is the efficiency of the pump plant as a decimal One can see that if Q the flow rate becomes zero (by blocking the exit) then the power required to drive the pump Pi also becomes zero.  So block the pump and lower the flow and the power required drops - or with the same power, the pump can spin faster.  There is always some flow around the vanes of a centrifugal pump in reality, so the power does not cause the pump to spin to infinity rpm but it equalizes at a higher rpm than when considerable (unblocked) flow is the condition.



Is this fun or what?

Ed Anderson

Rv-6A N494BW Rotary Powered

Matthews, NC

eanderson@carolina.rr.com

http://www.andersonee.com <http://www.andersonee.com/> http://www.dmack.net/mazda/index.html <http://www.dmack.net/mazda/index.html> http://www.flyrotary.com/

http://members.cox.net/rogersda/rotary/configs.htm#N494BW <http://members.cox.net/rogersda/rotary/configs.htm> http://www.rotaryaviation.com/Rotorhead%20Truth.htm <http://www.dmack.net/mazda/index.html> ________________________________

From: Rotary motors in aircraft [mailto:flyrotary@lancaironline.net] On Behalf Of Lynn Hanover
Sent: Tuesday, August 18, 2009 2:55 PM
To: Rotary motors in aircraft
Subject: [FlyRotary] Swirl pots/box fans



NO!  I meant exactly what I wrote.  It is admittedly counter-intuitive but true none the less.  Did you attempt to prove it to yourself with the suggested test?   Only takes a few seconds :>)

Tracy

On Tue, Aug 18, 2009 at 11:57 AM, Jeff Luckey <JLuckey@pacbell.net> wrote:

Tracy,



When a box fan falls over onto its suction side, it revs up as the work it is performing drops off to near zero.....................same idea.



Lynn E. Hanover



__________ Information from ESET NOD32 Antivirus, version of virus signature database 3267 (20080714) __________

The message was checked by ESET NOD32 Antivirus.

http://www.eset.com <http://www.eset.com/> Warning: This e-mail transmission, and any documents, files or previous e-mails attached to it, may contain confidential information that is legally privileged. If you are not the intended recipient or the person responsible for delivering it to the intended recipient, you are hereby notified that any disclosure, copying, distribution or use of any of the information contained in or attached to this transmission is STRICTLY PROHIBITED. If you have received this transmission in error, please immediately notify us by telephone at 713-662-8132 and destroy the original transmission and its attachments without reading them. Thank you.

Subscribe (FEED) Subscribe (DIGEST) Subscribe (INDEX) Unsubscribe Mail to Listmaster