Here is a formula for a centrifugal pump
that clearly? Shows that Tracy and Lynn are correct
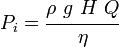
Energy Usage
The
energy usage in a pumping installation is determined by the flow required, the
height lifted and the length and characteristics of the pipeline. The power
required to drive a pump (Pi), is defined simply using SI units by: by:

where:
Pi is the input power
required (W)
ñ is the fluid density (kg/m3)
g is the gravitational constant
(9.81 m/s2)
H is the energy Head added to
the flow (m)
Q is the flow rate (m3/s)
ç is the efficiency of the pump plant as a decimal
One can see that if Q the flow rate
becomes zero (by blocking the exit) then the power required to drive the pump
Pi also becomes zero. So block the pump and lower the flow and the power
required drops – or with the same power, the pump can spin faster. There
is always some flow around the vanes of a centrifugal pump in reality, so the
power does not cause the pump to spin to infinity rpm but it equalizes at a
higher rpm than when considerable (unblocked) flow is the condition.
Is this fun or what?
From: Rotary motors in aircraft
[mailto:flyrotary@lancaironline.net] On
Behalf Of Lynn Hanover
Sent: Tuesday, August 18, 2009
2:55 PM
To: Rotary
motors in aircraft
Subject: [FlyRotary] Swirl
pots/box fans
NO! I meant exactly
what I wrote. It is admittedly counter-intuitive but true none the
less. Did you attempt to prove it to yourself with the suggested
test? Only takes a few seconds :>)
Tracy
On Tue, Aug 18, 2009 at 11:57 AM, Jeff Luckey <JLuckey@pacbell.net>
wrote:
When a box fan falls over onto its suction side, it revs up as the work
it is performing drops off to near zero.....................same idea.